Енергометр (вимірювач потужності та витрати електроенергії) Feron TM55 3680W 230V
830 ₴
788 ₴
Показати оптові ціни- Готово до відправки
- Оптом і в роздріб
- Код: 1350
Магазин "Світотехніка для Вас" рекомендує енергометр від відомої торгової марки Feron - TM55 3680W.
У Вашому будинку або квартирі іноді без нього просто не обійтися!
Енергометр ТМ55 дасть змогу Вам дізнатися, яку потужність електроенергії дійсно споживає будь-який Ваш електроприлад (телевізор, буряк, чайник, холодильник, комп'ютер тощо), а також допоможе вирахувати суму оплати за користування даними прибором.
Нова оновлена модель лічильника електроенергії обладнана вже вбудованим Ni-Mh-акумулятором на 20mAh, який заряджається в процесі роботи пристрою. Завдяки йому навіть у разі вимкнення енергометра від мережі зберігаються всі режими роботи. Особливістю нової моделі є можливість його використання навіть за зниженої напруги — до 100V. Водночас він може фіксувати мінімальні та максимальні значення показань потужності. І взагалі, завдяки деяким змінам у мікросхемі лічильника електроенергії вимірювача стали точнішими.

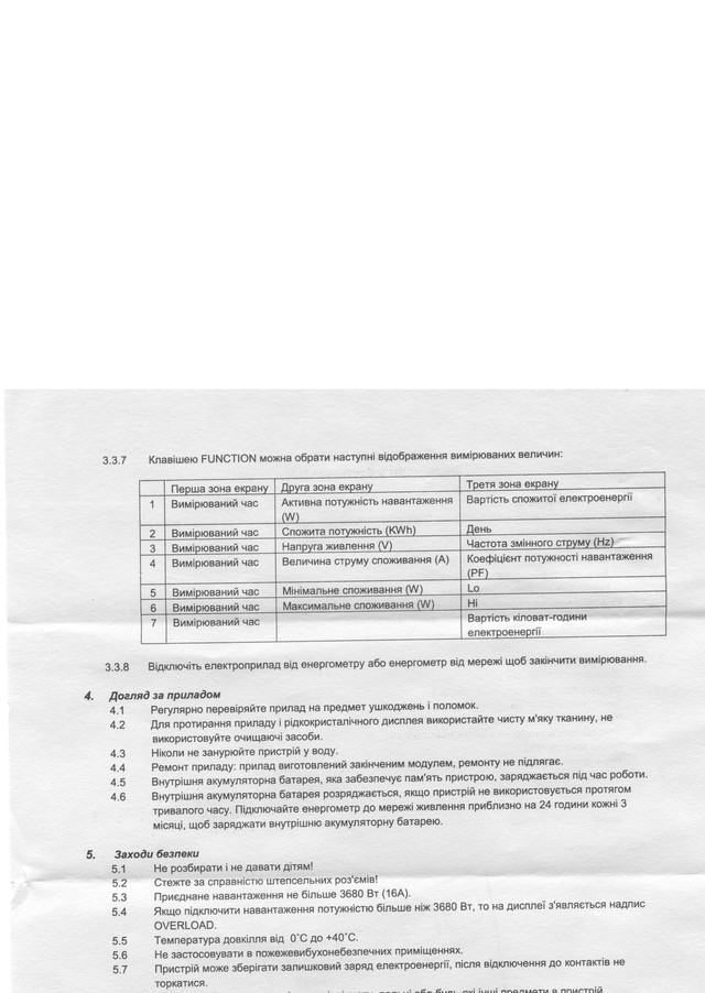
Портативний лічильник електроенергії Енергометр TM55 — це пристрій контролю витрати електроенергії. Дає змогу фіксувати та відтворювати витрачену електроенергію у Ватах, грошовому коефіцієнті, амперах, частоті в Герцях та інших. Допоможе зрозуміти витрати на використання електроенергії щодо увімкненого приладу. На панелі 4 кнопки й одна кнопка скидання заданих значень (по центру "Reset"). Function — перемикає режими зображення інформації на моніторі, показує почергово потужність у ватах, у кіловатах, амперах, сумарно споживану електрику, час використання (дні), мінімальну та максимальну потужність, яку зафіксувало Цей пристрій, вартість електроенергії за 1 кв/год, частота в Гц. Cost — дає змогу показати встановлену ціну за кВт, утримуючи її, можна налаштувати вартість кіловата на годину. кнопки Up і Down встановлюють числові значення (вартість). Натискаючи їх, можна регулювати задану вартість кВт/год. На моніторі вгорі показується час роботи використовуваного пристрою (тато, комп'ютер, телевізор), за всередині використовувана потужність у Вт, знизу загальна вартість за електроенергію. Внимание! Не перевищуйте максимально допустиму потужність під'єднаного навантаження! Лічильник призначений тільки для роботи в мережі 220-230 В, 50 Гц Максимальна потужність під'єднаного навантаження - 3,5 Квт (16А)
Експлуатація лічильника електроенергії дозволена тільки в сухих і опалюваних приміщеннях Завжди дотримуйтеся запобіжних заходів під час під'єднання електроприладів.


Лічильник електроенергії ТМ55 — незамінний під час підбору потужності стабілізатора напруги, якщо такої буде потрібно у Вашому домі.
Технічні характеристики та комплектація можуть відрізнятися залежно від партії!!!
| Основні атрибути | |
|---|---|
| Виробник | Feron |
| Висота | 160 мм |
| Ширина | 77 мм |
| Країна виробник | Китай |
| Довжина | 72 мм |
| Матеріал | Пластик |
| Колір | Білий |
| Тип таймера | Електронний (цифровий) |
- Ціна: 788 ₴













